科威特为什么这么热 科威特为啥这么热
2025-11-17 22:05:32
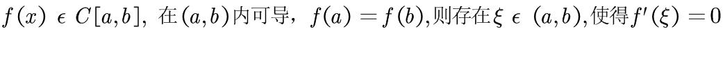
高等数学,中值定理之罗尔定理,证明
我们先来看一下罗尔定理的具体定义:

我们来进行拆解,首先此定理的成立需要满足三个条件,即如下:
在[a,b]区间上,函数f(x)是连续的。在(a,b)区间上,函数f(x)是可导的。函数值f(a)=f(b)
有了这个条件,我们可以得出结论:
在区间(a,b)上存在一个点,这个点的导数值为0。
这里用到了最值定理,我们可以设最小值为m,最大值为M,证明如下:

2025-11-17 22:05:32
2025-11-17 22:03:26
2025-11-17 22:01:21
2025-11-17 21:59:15
2025-11-17 21:57:09
2025-11-17 21:55:04
2025-11-15 10:31:36
2025-11-15 10:29:30
2025-11-15 10:27:25
2025-11-15 10:25:19
2025-11-15 10:23:13
2025-11-15 10:21:08
2025-11-15 10:19:02
2025-11-15 10:16:56
2025-11-15 10:14:50
2025-11-15 10:12:45
2025-11-14 10:44:00
2025-11-14 10:41:54
2025-11-14 10:39:48
2025-11-14 10:37:43